纤维八糖 (Cellooctaose) 介绍
英文名:Cellooctaose
品牌:Elicityl
碳水化合物族谱:纤维聚糖
类型:寡糖
分子式:C52H82O41
分子量:1315.13
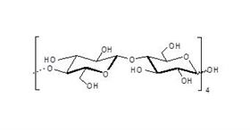
结构说明:纤维多糖是从纤维素分解产生的具有两个或更多葡萄糖单体的葡萄糖聚合物(以棉短绒为原料)。纤维多糖广泛应用于功能性食品中(益生菌),医药和化工行业以及农业和环境工程。纤维八糖由β(1-4)链接D-葡萄糖单体缩合组成,聚合度为8。
品牌:Elicityl
碳水化合物族谱:纤维聚糖
类型:寡糖
分子式:C52H82O41
分子量:1315.13
结构说明:纤维多糖是从纤维素分解产生的具有两个或更多葡萄糖单体的葡萄糖聚合物(以棉短绒为原料)。纤维多糖广泛应用于功能性食品中(益生菌),医药和化工行业以及农业和环境工程。纤维八糖由β(1-4)链接D-葡萄糖单体缩合组成,聚合度为8。
