aGM2神经节苷脂类糖-N-乙酰-丙炔介绍
神经节苷脂是复杂的鞘糖脂(简称GSL,也被称为糖脂),包含唾液酸。它们是脊椎动物细胞膜的建构单元, 在细胞到细胞和细胞到细胞外基质(毒素,激素,病毒的受体……)通信时发挥关键作用。 作为肿瘤发病机制的一部分,这些分子算是疫苗的进攻目标。
神经节苷脂糖系统命名法:
G代表神经节苷脂
M, D, T & Q分别代表单个,两个,三个,四个唾液酸
1,2,3为薄层色谱中距离迁移的顺序
G代表神经节苷脂
M, D, T & Q分别代表单个,两个,三个,四个唾液酸
1,2,3为薄层色谱中距离迁移的顺序

参考文献
Modified from Essentials of Glycobiology 2nd Edition, Varki A, Cummings RD, Esko JD, et al., editors. Cold Spring Harbor (NY): Cold Spring Harbor Laboratory Press; 2009.
Modified from Essentials of Glycobiology 2nd Edition, Varki A, Cummings RD, Esko JD, et al., editors. Cold Spring Harbor (NY): Cold Spring Harbor Laboratory Press; 2009.
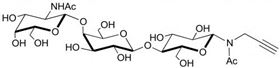
aGM2神经节苷脂类糖-N-乙酰-丙炔结构说明
aGM2神经节苷脂类糖-N-乙酰-丙炔, aGM2 Ganglioside sugar-N-Acetyl-propargyl,GalNAcβ1-4Galβ1-4Glc-NAc-propargyl
货号:GLY104-NPR
结构:

aGM2神经节苷脂类糖-N-乙酰-丙炔 相关神经节苷脂类糖产品