西宝生物可提供海洋寡糖标准品:褐藻寡糖标准品、卡拉胶寡糖标准品、琼胶寡糖标准品和壳寡糖标准品,咨询热线:400-021-8158。
卡拉胶寡糖(Carrageenan Oligosaccharides)主要是利用微生物产生的卡拉胶酶降解卡拉胶得到,与卡拉胶相比,卡拉胶寡糖分子量较小、溶解性较好、稳定性和安全性都有所改善,同时因分子链上的活性基团充分暴露,其原有的活性得到提高,甚至产生了新的活性。
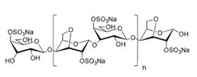
(1)IOTA-卡拉胶寡糖结构式 (2)K-卡拉胶寡糖结构式

西宝生物提供IOTA-卡拉胶寡糖标准品、K-卡拉胶寡糖标准品,欢迎来电咨询:400-021-8158。
西宝生物提供聚甘露糖醛酸标准品、聚古罗糖醛酸标准品。
欢迎来电咨询:400-021-8158,或访问:http://mall.seebio.cn
如需获得更多信息,请联系我们400-021-8158,或访问:http://mall.seebio.cn
