西宝生物可提供海洋寡糖标准品:褐藻寡糖标准品、卡拉胶寡糖标准品、琼胶寡糖标准品和壳寡糖标准品,咨询热线:400-021-8158。
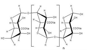
褐藻寡糖(Alginate oligosaccharides)是由β-D-聚甘露糖醛酸(M)和α-L-聚古罗糖醛酸(G)组成的线型低聚合物,分为三种类型:聚甘露糖醛酸(PM)、聚古罗糖醛酸(PG)和杂合褐藻寡糖。褐藻胶寡糖性能稳定,可溶于水。
(1)聚甘露糖醛酸(PM)结构式: (2)聚古罗糖醛酸(PG)

西宝生物提供聚甘露糖醛酸标准品、聚古罗糖醛酸标准品,欢迎来电咨询:400-021-8158。
