赖氨酸标记葡聚糖 Lysine-Dextran
- 好的重均分子量分布(低聚合分散性)
- 高质量,白色和纯粉末
- 稳定性好,性能好
- 细胞和组织的固定性
- 容易与染料或生物分子结合
- 完全水溶

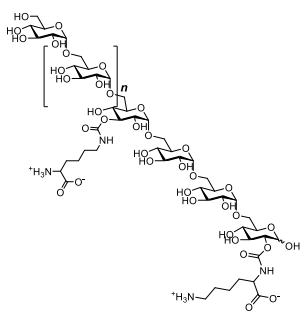
图1 赖氨酸标记葡聚糖的结构表征。赖氨酸是否主要通过ε-或α-氨基与葡聚糖结合尚无定论。

图2 (左)赖氨酸残基促进功能化(右)将探针固定在活体系统上可固化系统框架。
|
产品编号
|
品名
|
分子量(kDa)
|
包装
|
|
Lysine-dextran 4
|
4
|
10 mg
|
|
|
100 mg
|
|||
|
1 g
|
|||
|
Lysine-dextran 10
|
10
|
10 mg
|
|
|
100 mg
|
|||
|
1 g
|
|||
|
Lysine-dextran 70
|
70
|
10 mg
|
|
|
100 mg
|
|||
|
1 g
|
|||
|
Lysine-dextran 500
|
500
|
10 mg
|
|
|
100 mg
|
|||
|
1 g
|
![]() |
![]() |
![]() |
| 官网:www.cxbio.com | 微信服务号:iseebio | 微博:seebiobiotech |
![]() |
![]() |
![]() |
| 商城:mall.seebio.cn | 微信订阅号:seebiotech | 泉养堂:www.canmedo.com |
相关资讯
- Ludger单糖分析
- LBIS(R) 小鼠/大鼠 高分子量脂联素 ELISA 试剂盒
- 胃蛋白酶原I(PGI)-磁微粒化学发光法(AE/AP) /荧光免疫层析解决方案
- 天然色素
- 剑桥大学:脂肪长在哪里更健康?
- 注射新型蛋白在一周之内改善阿尔兹海默症症状
- 动物模型饲料 Research Diet
- Cell子刊:抗凋亡MCL-1在线粒体代谢中的作用
- Mol Cancer Res:鉴别出关键靶点有望开发出治疗三阴性乳腺癌的新型疗法
- PD-1 (human) ELISA Kit;PD-1 (人) ELISA试剂盒
新进产品
同类文章排行
- 汽巴蓝3G-A(Cibacron Blue 3G-A)
- 异硫氰酸荧光素 (FITC)
- TdB染料
- 透明质酸衍生物 Hyaluronic acid derivatives
- 聚蔗糖 Polysucrose
- 季胺标记葡聚糖 Q-Dextran
- 苯基标记葡聚糖 Phenyl-dextran
- 赖氨酸标记葡聚糖 Lysine-Dextran
- 羧甲基标记聚蔗糖 CM-Polysucrose
- 羧甲基标记葡聚糖 CM-Dextran
资讯文章
您的浏览历史









