海洋寡糖标准品解决方案(1)----褐藻寡糖标准品
产品编号: 发表日期:2014-08-28 15:23:00
西宝生物可提供海洋寡糖标准品:褐藻寡糖标准品、卡拉胶寡糖标准品、琼胶寡糖标准品和壳寡糖标准品,咨询热线:400-021-8158。褐藻寡糖(Alginate oligosaccharides)是由β-D-聚甘露糖醛酸(M)和α-L-聚古罗糖醛酸(G)组成的线型低聚合物,分为三种类型:聚甘露糖醛酸(PM)、聚古罗糖醛酸(PG)和杂合褐藻寡糖。褐藻胶寡糖性能稳定,可溶于水。
西宝生物可提供海洋寡糖标准品:褐藻寡糖标准品、卡拉胶寡糖标准品、琼胶寡糖标准品和壳寡糖标准品,咨询热线:400-021-8158。
褐藻寡糖(Alginate oligosaccharides)是由β-D-聚甘露糖醛酸(M)和α-L-聚古罗糖醛酸(G)组成的线型低聚合物,分为三种类型:聚甘露糖醛酸(PM)、聚古罗糖醛酸(PG)和杂合褐藻寡糖。褐藻胶寡糖性能稳定,可溶于水。
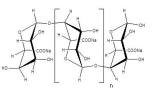
结构式
(1)聚甘露糖醛酸(PM)结构式: (2)聚古罗糖醛酸(PG)

|
产品线 |
西宝生物提供聚甘露糖醛酸标准品、聚古罗糖醛酸标准品,欢迎来电咨询:400-021-8158。
|
货号 |
中文名称 |
英文名称 |
分子式 |
分子量 |
纯度规格 |
检测条件方法(结构与纯度) |
包装规格 |
|
DCJ
|
甘露糖醛酸八糖标准品 |
octamannuronic acid octasodium salt Standard |
C48H58O49Na8 |
1602.86 |
90% |
HPLC, ESMS |
5mg、10mg、20mg、50mg、100mg |
|
DCJ
|
甘露糖醛酸二糖标准品 |
dimannuronic acid disodium salt Standard |
C12H16O13Na2 |
414.23 |
95% |
TLC, HPLC |
5mg、10mg、20mg、50mg、100mg |
|
DCJ
|
甘露糖醛酸六糖标准品 |
hexamannuronic acid hexasodium salt Standard |
C36H44O37Na6 |
1206.65 |
90% |
TLC, HPLC, ESMS |
5mg、10mg、20mg、50mg、100mg |
|
DCJ
|
甘露糖醛酸七糖标准品 |
heptamannuronic acid heptasodium salt Standard |
C42H51O43Na7 |
1404.76 |
90% |
HPLC, ESMS |
5mg、10mg、20mg、50mg、100mg |
|
DCJ
|
甘露糖醛酸三糖标准品 |
trimannuronic acid trisodium salt Standard |
C18H23O19Na3 |
612.33 |
95% |
TLC, HPLC |
5mg、10mg、20mg、50mg、100mg |
|
DCJ
|
甘露糖醛酸四糖标准品 |
tetramannuronic acid tetrasodium salt Standard |
C24H30O25Na4 |
810.44 |
95% |
TLC, HPLC |
5mg、10mg、20mg、50mg、100mg |
|
DCJ
|
甘露糖醛酸五糖标准品 |
pentamannuronic acid pentasodium salt Standard |
C30H37O31Na5 |
1008.54 |
95% |
TLC, HPLC |
5mg、10mg、20mg、50mg、100mg |
|
DCJ
|
古罗糖醛酸八糖标准品 |
octaguluronic acid octasodium salt Standard |
C48H58O49Na8 |
1602.86 |
90% |
HPLC;PAGE |
5mg、10mg、20mg、50mg、100mg |
|
西宝生物提供聚甘露糖醛酸标准品、聚古罗糖醛酸标准品。 欢迎来电咨询:400-021-8158,或访问:http://mall.seebio.cn |
|||||||
|
DCJ |
古罗糖醛酸二糖标准品 |
diguluronic acid disodium salt Standard |
C12H16O13Na2 |
414.23 |
95% |
TLC, HPLC |
5mg、10mg、20mg、50mg、100mg |
|
DCJ |
古罗糖醛酸九糖标准品 |
nanaguluronic acid nanasodium salt Standard |
C54H65O55Na9 |
1800.97 |
90% |
HPLC,PAGE |
5mg、10mg、20mg、50mg、100mg |
|
DCJ |
古罗糖醛酸六糖标准品 |
hexaguluronic acid hexasodium salt Standard |
C36H44O37Na6 |
1206.65 |
95% |
HPLC, PAGE |
5mg、10mg、20mg、50mg、100mg |
|
DCJ |
古罗糖醛酸七糖标准品 |
heptaguluronic acid heptasodium salt Standard |
C42H51O43Na7 |
1404.76 |
90% |
HPLC, PAGE |
5mg、10mg、20mg、50mg、100mg |
|
DCJ |
古罗糖醛酸三糖标准品 |
triguluronic acid trisodium salt Standard |
C18H23O19Na3 |
612.33 |
95% |
TLC, HPLC |
5mg、10mg、20mg、50mg、100mg |
|
DCJ |
古罗糖醛酸四糖标准品 |
tetraguluronic acid tetrasodium salt Standard |
C24H30O25Na4 |
810.44 |
95% |
TLC, HPLC |
5mg、10mg、20mg、50mg、100mg |
|
DCJ |
古罗糖醛酸五糖标准品 |
pentaguluronic acid pentasodium salt Standard |
C30H37O31Na5 |
1008.54 |
95% |
TLC, HPLC |
5mg、10mg、20mg、50mg、100mg |
如需获得更多信息,请联系我们400-021-8158,或访问:http://mall.seebio.cn
相关链接:
![]() |
![]() |
![]() |
| 官网:www.cxbio.com | 微信服务号:iseebio | 微博:seebiobiotech |
![]() |
![]() |
![]() |
| 商城:mall.seebio.cn | 微信订阅号:seebiotech | 泉养堂:www.canmedo.com |
西宝生物科技(上海)股份有限公司
客服电话:400-021-8158
公司传真: 021-50272982
公司邮箱:
market@seebio.cn
公司地址:总部:中国(上海)自由贸易试验区毕升路299弄11号502室 邮编:201204
研发生产中心:上海市浦东新区川宏路508号5幢 邮编:201202









