合成聚合物 - 功能性聚苯乙烯, PS


分子量范围:800-150,000Da
PDI ≤1.08
包装:1mg-60g
|
序号
|
描述
|
结构
|
|
1
|
PS-OH
|
![]() |
|
2
|
PS-MA
|
![]() |
|
3
|
PS-MMA
|
![]() |
|
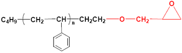
4
|
PS-EO
|
![]() |
|
5
|
PS-Allyl
|
![]() |
|
6
|
PS-Alkynl
|
![]() |
|
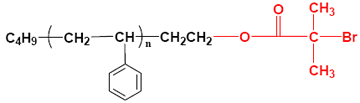
7
|
PS-Br
|
![]() |
|
8
|
PS-COOH
|
![]() |
|
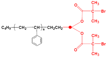
9
|
PS-(OH)2
|
![]() |
|
10
|
PS-OH/EO
|
![]() |
|
如果您对上述产品感兴趣,请致电400-021-8158了解更多详细情况!
|
||
|
11
|
PS-(EO)2
|
![]() |
|
12
|
PS-OH/Allyl
|
![]() |
|
13
|
PS-(Allyl)2
|
![]() |
|
14
|
PS-OH/Alkynl
|
![]() |
|
15
|
PS-(Alkynl)2
|
![]() |
|
16
|
PS-(Br)2
|
![]() |
|
17
|
PS-Br/Alkynl
|
![]() |
|
18
|
PS-St
|
![]() |
|
19
|
HO-PS-OH
|
![]() |
|
20
|
MA-PS-MA
|
![]() |
|
如果您对上述产品感兴趣,请致电400-021-8158了解更多详细情况!
|
||
|
21
|
MMA-PS-MMA
|
![]() |
|
22
|
EO-PS-EO
|
![]() |
|
23
|
Allyl-PS-Allyl
|
![]() |
|
24
|
Alkynl-PS-Alkynl
|
![]() |
|
25
|
Br-PS-Br
|
![]() |
|
26
|
HOOC-PS-COOH
|
![]() |
|
27
|
St-PS-St
|
![]() |
|
28
|
(HO)2-PS-(OH)2
|
![]() |
|
29
|
HO/EO-PS-OH/EO
|
![]() |
|
30
|
(EO) 2-PS-(EO)2
|
![]() |
|
如果您对上述产品感兴趣,请致电400-021-8158了解更多详细情况!
|
||
|
31
|
HO/Allyl-PS-OH/Allyl
|
![]() |
|
32
|
(Allyl) 2-PS-(Allyl)2
|
![]() |
|
33
|
HO/Alkynl-PS-OH/Alkynl
|
![]() |
|
34
|
(Alkynl) 2-PS-(Alkynl)2
|
![]() |
|
35
|
(Br) 2-PS-(Br)2
|
![]() |
|
36
|
Br/Alkynl-PS-Br/Alkynl
|
![]() |
|
如果您对上述产品感兴趣,请致电400-021-8158了解更多详细情况!
|
||
1、提供多种官能团修饰,性能好,纯度高,产品分子量为500-80,000,产品聚合分散度(PDI)小于 1.05;
2、生产工艺简化,杂质低,品质稳定;
3、可提供400多种类型,近2000种规格产品;
4、其他特殊规格可提供定制开发。
![]() |
![]() |
![]() |
| 官网:www.cxbio.com | 微信服务号:iseebio | 微博:seebiobiotech |
![]() |
![]() |
![]() |
| 商城:mall.seebio.cn | 微信订阅号:seebiotech | 泉养堂:www.canmedo.com |
相关资讯
- 最新研究:宝宝少吃盐就等于补钙
- Nat Commun Signal:新型癌症信号有助于抗癌药的开发
- Nature:揭示SARS-CoV-2刺突蛋白结合人ACE2受体的结构机制
- 方便的预调材料 粉末培养基/缓冲剂
- Cell Rep:突破!科学家阐明单个线粒体的首个DNA序列
- Seebio生物研究试剂盒促销
- Megazyme检测试剂盒中所提供的酶和缓冲溶液的有效期是多长?
- Nissui 日水培养基(细胞培养基、微生物培养基)
- 药用辅料 - 卡波姆(carpol)
- 抗LC3单克隆抗体(克隆号:LC3-1703)
新进产品
同类文章排行
- 用于干细胞研究的人CD单抗
- 灵长类ES/iPS细胞用培养基 Primate ES cell medium
- 灵长类胚胎干细胞/诱导多能干细胞培养基(无饲养层培养) ReproFF2
- 人ES/iPS细胞 无饲养层无血清培养基 StemSure(R) hPSC培养基△
- 免疫分析试剂中常用封闭剂种类及选择
- 人ES/iPS细胞培养用液体培养基 StemSure(TM) on-feeder hPSC培养基
- 纳豆激酶 Nattokinase
- 聚乙二醇解决方案满足产业与科研需求
- Probucol 血脂异常症研究用相关试剂
- TEV蛋白酶,蛋白标签切除一步到位,生物医药的“黄金剪刀”
资讯文章
您的浏览历史













































